Tính năng Loan contract dùng để lập, quản lý tất cả các thông tin của hợp đồng vay vốn. Các thông tin của hợp đồng vay bao gồm:
Thông tin chung về hợp đồng, mã hiệu, diễn giải, loại hợp đồng.
Các dự án sử dụng vốn vay của hợp đồng.
Mục đích vay vốn.
Ngân hàng, hoặc các đơn vị tài chính cho vay.
Thông tin về thời gian hiệu lực và thời gian trả lãi.
Thông tin về giá trị hợp đồng.

Thông tin phân tích phân loại hđ vay
Đổi tại v4.7.7.422. Dùng trường dữ liệu này lưu giá trị Repayment method cho tất cả các đợt giải ngân Loan Disbursement. Nếu Repayment Method không được định nghĩa ở đợt giải ngân, giá trị ở đây sẽ được sử dụng.
Ngày hiệu lực của hợp đồng
Trong trường hợp không có giải ngân, hợp đồng có thể dùng để mô phỏng dòng tiền. Ngày hiệu lực coi như ngày bắt đầu giải ngân 100% số tiền vay.
Ngày đáo hạn
Trong trường hợp không có giải ngân, hợp đồng có thể dùng để mô phỏng dòng tiền. Ngày đáo hạn coi như ngày hoàn vốn và kết thúc hợp đồng.
Lãi suất
Lãi suất ở ô này không lưu trong mẩu tin hợp đồng mà được lưu ở Loan Interest Rate với ngày hiệu lực là ngày Effective Date hoặc ngày Hợp đồng nếu Effective Date để trống.
Lãi suất được tính tự động theo 5 tham số:
Các tham số từ 1->4 được sử dụng như cấu trúc phân cấp khi lấy lãi suất
Ví dụ
VCBVCB001146CNĐầu tiên chương trình sẽ tìm lãi suất trong bảng Loan Interest Table theo mã VCB.VCB001.1.46CN.
Nếu không được định nghĩa, chương trình sẽ tìm tiếp ở lãi suất của đợt giải ngân số 1- VCB.VCB001.1
Nếu không được định nghĩa, chương trình sẽ tìm tiếp ở lãi suất của hợp đồng VCB001- VCB.VCB001 - chính là thông tin ở ô này
Nếu không được định nghĩa, chương trình sẽ tìm tiếp ở lãi suất cho vay của VCB
1-31Chọn các tháng tính lãi
Vd: /3 hoặc 3,6,9,12 - tính lãi vào các tháng 3,6,9,12 /2 - tính lãi vào các tháng chẵn
⚠️ Chú ý
Biểu thức này luôn được tính tự động dựa vào Interest Day in Months và Interest months. Nếu muốn nhập thủ công biểu thức này, ta phải để trống trường Interest Day in Months
Lãi phạt trả chậm
Trong trường hợp bên đi vay không trả lãi đúng hạn, thì phải trả lãi chậm trả theo mức lãi suất do tổ chức tín dụng và khách hàng thỏa thuận nhưng không vượt quá 10%/năm tính trên số dư lãi chậm trả tương ứng với thời gian chậm trả
Lãi phạt nợ quá hạn
Lãi phạt nợ quá hạn được xác định theo các cách sau:
Số tiền gốc
Số tiền gốc được dùng để ghi nhận số tiền vay trong trường hợp số tiền vay là ngoại tệ.
Tỷ giá
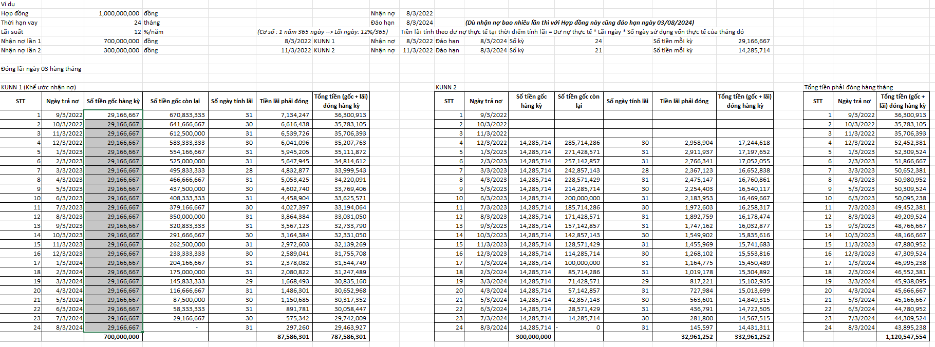
✔️ Ví dụ
Công ty A ký hợp đồng vay vốn của ngân hàng V với số tiền vay là 1 tỷ VND, giải ngân qua 2 đợt.
Chi tiết như sau:

Ta sẽ thiết lập trên Phoebus để đáp ứng yêu cầu tính lãi như ví dụ trên
Bước 1. Tạo hợp đồng vay vốn với chức năng Loan Contract

Bước 2. Tạo 2 đợt giải ngân KUNN1 700 tr và KUNN2 300 tr


Bây giờ ta có thể dùng chức năng Loan Interest Calculation (FI) để theo dõi và quản lý lịch trả lãi và vốn của hợp đồng trên giống yêu cầu đề ra

Updated on : 2022-11-25 12:45:37. by : . at X1-EXTREME.
Topic : Loan Contract. pbs.bo.fi.lctr